The radial (axial) internal clearance of a bearing is the arithmetic mean value of the radial (axial) movement of a ring relative to another ring from a radial (axial) limited position to the opposite limited position with bearing under zero foreign load. In practice because of the roundness error of rings and the nonidentity of rollers, an average movement should be taken in various directions of a ring and at various relative positions between rings and rollers. Clearance is an important parameter of a bearing that directly effects the load distribution in a bearing as well as its performances such as vibration, noise, friction resistance, temperature raise, service life, rotation accuracy, etc. Excessive clearance could decrease the loading area in a bearing, increase the stress of contacting surfaces and therefore shorten its life. In addition excessive clearance could also cause worse motion accuracy and increasing vibration and noise. Insufficient clearance may become negative clearance (i.e. Interference) in running time, consequently more heat is generated, the temperature is raised, and the effective clearance become further negative, like as in a vicious circle, finally the bearing lead to unable to rotate.
2. The relations of clearances under various states
Initial clearance△o: The clearance of a bearing before its installation, or in delivery status.
Mounting clearance△r: The clearance of a bearing after its installation. Because of the effect of the fits after installation the inner ring is usually expanded and the outer ring is constricted.
So that
△r=△o?δfo?δfi (1)
Here:
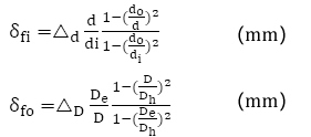
δfois the decrease of clearance due to the fits of the outer ring to the housing,
δfiis the decrease of clearance due to the fits of the inner ring to the shaft.
Operational clearance △e:The clearance of a bearing in running time. Because of the effect of the temperature rise and the heat radiation in practical working time the temperature of inner ring is usually higher than of outer ring, so the clearance is decreased as
△e=△r?δt (2)
Here δt is the decrease of clearance due to the temperature difference between inner ring and outer ring. From(1)and(2)following relation can be obtained
△e=△o?δfo?δfi?δt (3)
3. Calculation of operational clearance
According to (3) the operational clearance can be obtained provide the factors that operational clearance have been calculated out.
The effect of installation

Here:
△d – The interference between bore and shaft (mm)
△D – The interference between OD and housing (mm)
d – Bore of bearing (mm)
D – OD of bearing (mm)
De – Mean bore of outer ring (mm)
De If no definite De, estimate it as De=(7D+3d)/10
di – Mean OD of inner ring (mm)
di If no definite di, estimate it as di=(3D+7d)/10
do – Bore diameter of hollow shaft (mm). do=0 if solid shaft
Dh – OD of housing (mm). Dh=∞ if rigid housing
The effect of temperature
Here, α – Thermal expansile factorl (1/℃)
△t – The temperature difference between inner and outer(℃) △t=Ti?To
Do – Race diameter of outer ring (mm)
If no definite Do, estimate it as
Do=(4D+d)/5 for ball bearing or spherical roller bearing
Do=(3D+d)/4 for cylindrical roller bearing
4. Example:
A bearing of 23132CA fitted a solid shaft with a tolerance of p6+0.068 +0.043 and a housing (330 OD) with a tolerance of K7+0.012 -0.028 works under normal condition when the temperature of the inner is about 10℃ higher than the temperature of the outer please to calculate the effective clearance and give your comment or advice.
The data of 23132CA: the outer diameter D=270+0 -0.035 mm, the bore diameter d=160+0 -0.025mm, contact angle α=11°45′, the mean inside diameter of outer ring De=240mm, the mean OD of inner ring di=190mm, the race diameter of outer ring Do=248mm, the clearance of C0 is 0.17 maximum to 0.1 minimum.

As the result, the effective clearance is less than 0, that indicate the bearing is probable in interference condition.
It is suggested to change C0 to C3, which maximum clearance is 0.22 and minimum clearance is 0.17, then the possible minimum clearance will be
△(e min)=△o?δfo?δfi?δt=0.17?0.078?0.017?0.031=0.044mm
TWB can provide bearings with standard clearance of C2, C0, C3, C4 and C5, which clearance are conformity with the major domestic and overseas manufacturers. All clearance data are available in the catalogues. Customers should specify the clearance code after the bearing number when they release orders for bearings and normal C0 clearance could be omitted.
For example, the bearing 23132CA with C3 clearance should be designated as 23132 CA/C3.When the user selects the clearance, the working clearance should be checked according to formula (3) based on the working conditions. The theoritical effective clearance is zero clearance, because it can obtain optimum load distribution and longest serve life in order to achieve more rigid and more accuracy rotation, a bearing may be allowed to work under a certain negative clearance. However, in case that the working condition is variable, or the fits of installation is not controlled strictly, or the inner ring is not easy to radiate its heat, a certain effective clearance, following table can be referred to when determine clearance of the bearings.
Working Condition |
Application Examples |
Clearance |
Precise fits of installation or non-interference fits Vibration or noise are required to control strictly Radial or axial position are to accurately locate |
Metrological instruments and devices Low noise motor, small motor Precise steel mill |
C2 |
Common fits of installation ( Refer to catalogue) Normal load and speed, not high temperature rise |
General machinery Reducer, transmission |
C0 |
Interference fits on inner and outer or one of them is more interference fits Inner is difficultly radiate heat Spherical roller bearing for being loaded mainly works under variable condition |
Railway vehicles Paper dryer Mining machinery |
C3 |
Extra interference fits on inner and outer |
Shaker Screen Dryer Automobile rear wheel |
C4 |
Extra interference fits on inner and outer while inner is high temperature and difficult to radiate its heat |
Vibratory road roller |
C5 |
Note: If the working condition is critical for bearing, the above five standard clearances can not meet the requirements. The non-standard clearance C9 should be adopted and its initial clearance limits should be stated when order release. The customers can also determine the clearance based on their experience, successful or failure, in application of the bearing. For example, if a serious heated or clipped bearing was presented,larger clearance should be chosen.
Bearing Application Expert











